水樣中有機磷農藥經三氯甲烷萃取、濃縮、定容后,用氣相色譜分離,質譜檢測。水樣中的敵百蟲經堿解轉化為敵敵畏后進行測定。根據保留時間、質譜圖或碎片離子質荷比及豐度比定性,內標法定量。
1.三氯甲烷:色譜純,在方法推薦條件下無干擾峰。
2.丙酮:色譜純,在方法推薦條件下無干擾峰。
3.濃硫酸:1.84g/ml。
4.氫氧化鈉。
5.氯化鈉:經450℃烘烤4h后,置于干燥器中冷卻至室溫后,放入試劑瓶中密封保存。
6.無水硫酸鈉:經450℃烘烤4h后,置于干燥器中冷卻至室溫后,放入試劑瓶中密封保存。
7.正己烷:色譜純,在方法推薦條件下無干擾峰。
8.硫酸溶液:1+1。
9.硫酸溶液:1+10。
10.氫氧化鈉溶液:10 g/L。
稱取 1.0 g 氫氧化鈉,溶于 100 ml 實驗室一級純水中,混勻,貯存于具螺口的塑料試劑瓶中。
11.氫氧化鈉溶液:1.0 g/L。
稱取 1.0 g 氫氧化鈉,溶于 1 L 實驗室一級純水中,混勻,貯存于具螺口的塑料試劑瓶中。
12.有機磷農藥標準貯備液(不含敵百蟲):2000g/ml。
直接購買市售有證標準溶液,或自行配制。市售有證標準物質按照說明書要求進行保存;自行配制標準貯備液在≤-18℃下冷凍保存,可穩定保存6 個月。
13.敵百蟲標準貯備液: 2000g/ml。
直接購買市售有證標準溶液,或自行配制。市售有證標準物質按照說明書要求進行保存;自行配制標準貯備液在≤-18℃下冷凍保存,可穩定保存6 個月。
14.有機磷農藥使用液: 50.0g/ml。
取適量有機磷農藥標準貯備液配制于一定體積的正己烷:丙酮(1:1)中,現用現配。
15.有機磷農藥柱處理液:10.0g/ml。
取適量有機磷農藥標準貯備液配制于一定體積的正己烷:丙酮(1:1)中,在≤-18℃下冷凍保存,可穩定保存2 個月。
16.內標標準貯備液:2000g/ml。
宜選用萘-D8、苊-D10、菲-D10 和?-D12 作為內標。可直接購買市售有證標準溶液,或自行配制。市售有證標準物質按照說明書要求進行保存;自行配制內標標準貯備液在≤-18℃下冷凍保存,可穩定保存12 個月。
17.替代物(氘代磷酸三丁酯)標準貯備液:1000g/ml。
可直接購買市售有證標準溶液,或自行配制。市售有證標準物質按照說明書要求進行保存;自行配制替代物標準貯備液在≤-18℃下冷凍保存,可穩定保存6 個月。
18.替代物(氘代磷酸三丁酯)標準使用液:50.0g/ml。
取適量替代物(氘代磷酸三丁酯)標準貯備液配制于一定體積的正己烷:丙酮(1:1)中,現用現配。
19.十氟三苯基膦(DFTPP)溶液:50mg/L。
可直接購買市售有證標準溶液,或自行配制。自行配制標準溶液在≤-18℃下冷凍保存。
20.氦氣:純度≥99.999%。
1.氣相色譜儀:具分流/不分流進樣口,能對載氣進行電子壓力控制,可程序升溫。
2.質譜儀:電子轟擊電離源(EI),一秒內能從35amu掃描至500amu;具NIST質譜圖庫、手動/自動調諧、數據采集、定量分析及譜庫檢索等功能。
3.毛細管柱:毛細管柱:30m×0.25mm,膜厚,膜厚0.25m,固定相為,固定相為50%苯基苯基/50%甲基聚硅氧烷,或使用其他等甲基聚硅氧烷,或使用其他等效性能的毛細管柱。效性能的毛細管柱。
4.濃縮裝置濃縮裝置::KD濃縮器或其他濃縮裝置濃縮器或其他濃縮裝置。。
5.樣品瓶:棕色磨口具塞玻璃瓶或具有聚四氟乙烯樣品瓶:棕色磨口具塞玻璃瓶或具有聚四氟乙烯襯墊瓶蓋襯墊瓶蓋的棕色螺口玻璃瓶。的棕色螺口玻璃瓶。
6.石墨化炭黑小柱石墨化炭黑小柱:250mg/3ml。。
7.微量注射器:微量注射器:5ul、10ul、50ul、100ul和和1ml。。
8.一般實驗室常用儀器和設備。
采集水樣后用硫酸溶液或氫氧化鈉溶液在采水器中調節水樣pH至5-8,轉移至棕色磨口具塞玻璃瓶或具有聚四氟乙烯襯墊瓶蓋的棕色螺口玻璃瓶中。
每批水樣應至少采集一個全程序空白樣品(以同批次實驗用水替代樣品)。
水樣采集后應于冷藏、避光運輸,及時分析。若不能及時分析,應置于4冷藏避光保存,保存期為3d。
地表水、地下水和海水
量取1L水樣至分液漏斗中加入10.0ul替代物氘代磷酸三丁酯標準貯備液混勻。向水樣中加入30g氯化鈉,振蕩至完全溶解后,加入25ml三氯甲烷,振搖2min注意放氣。靜置分層將萃取液轉移至相應容器中。重復萃取2次,合并萃取液,萃取液經無水硫酸鈉脫水后收集于濃縮瓶中濃縮近干后用正己烷丙酮1:1定容至1.0ml加入5.0ul內標標準貯備液4.16待測。同時保留水層待測敵百蟲。
生活污水和工業廢水
量取100ml水樣至分液漏斗中加入10.0ul替代物氘代磷酸三丁酯標準溶液4.17混勻。向水樣中加入3g氯化鈉,振蕩至完全溶解后,加入10ml三氯甲烷振搖2min注意放氣。靜置分層將萃取液轉移至相應容器中。重復萃取2次,合并萃取液,萃取液經無水硫酸鈉脫水后收集于濃縮瓶中濃縮近干后用正己烷丙酮1:1定容至1.0ml加入5.0ul內標標準貯備液,待測。同時保留水層待測敵百蟲。
水樣的凈化和濃縮
對于成分比較復雜的生活污水和工業廢水,或提取液顏色較深時,可以對提取液進行凈化。預先用5ml正己烷:丙酮(1:1)活化石墨化炭黑小柱,再將1.0ml未加內標標準溶液的萃取液加入到活化后的石墨化炭黑小柱中,接著用10ml正己烷:丙酮(1:1)洗脫,收集全部過柱的洗脫液,濃縮近干后用正己烷:丙酮(1:1)定容至1.0ml,加入5.0ul內標標準貯備液,待測。
敵百蟲試樣的制備
將地表水、地下水、海水、生活污水及工業廢水等收集的水層用氫氧化鈉溶液調pH至9-10后,倒入錐形瓶中,蓋好瓶蓋,置于50℃的水浴鍋中進行堿解,不斷搖動錐形瓶。15min后取出錐形瓶,冷卻至室溫,用硫酸溶液調pH至5-6后,將此溶液轉移至分液漏斗中,然后按步驟進行萃取和濃縮。
氣相色譜參考條件
進樣口:溫度220℃,不分流;
載氣:氦氣;
柱流量:1.0ml/min(恒流);
柱溫:40℃開始保持4min;以270℃(12min)。
質譜參考條件
傳輸線溫度:270℃;
離子源溫度:230℃;
離子源電子能量:70eV;
數據采集方式:全掃描;
掃描質量范圍:35amu-500amu。
用微量注射器移取1ul-2ul十氟三苯基膦(DFTPP)溶液,直接注入氣相色譜儀進行分析,得到的十氟三苯基膦(DFTPP)關鍵離子豐度應符合十氟三苯基膦(DFTPP)關鍵離子豐度標準中的規定,否則需對質譜儀的參數進行調整或者考慮清洗離子源。若儀器軟件不能自動判定十氟三苯基膦(DFTPP)關鍵離子豐度是否符合標準時,可通過取峰頂掃描點及其前后兩個掃描點離子豐度的平均值扣除背景值后獲得關鍵離子豐度,并應符合相應標準。背景值的選取可以是十氟三苯基膦(DFTPP)出峰前20次掃描點中的任意一點,該背景值應是柱流失或儀器背景離子產生的。
標準系列的配制和測定
有機磷農藥和替代物標準系列共6個質量濃度點,分別為0.5ug/ml、1.0ug/ml、5.0ug/ml、10.0ug/ml、50.0ug/ml和100ug/ml。
分別量取適量的有機磷農藥標準貯備液和替代物(氘代磷酸三丁酯)標準貯備液,用正己烷:丙酮(1:1)定容后混勻,配制成2個質量濃度點,目標物及替代物的質量濃度依次為50.0ug/ml和100ug/ml;分別量取適量的有機磷農藥標準使用液和替代物(氘代磷酸三丁酯)標準使用液,用正己烷:丙酮(1:1)定容后混勻,配制成4個質量濃度點,目標物及替代物的質量濃度依次為0.5ug/ml、1.0ug/ml、5.0ug/ml、10.0ug/ml。
向標準系列溶液中加入適量內標標準貯備液,使其內標濃度均為10.0ug/ml。
用微量注射器依次移取有機磷農藥柱處理液、標準系列溶液(低濃度到高濃度)各1.0ul注射到氣相色譜儀中。按照儀器參考條件依次測定并記錄標準系列目標物及相對應內標的保留時間、目標離子和輔助離子的峰面積。
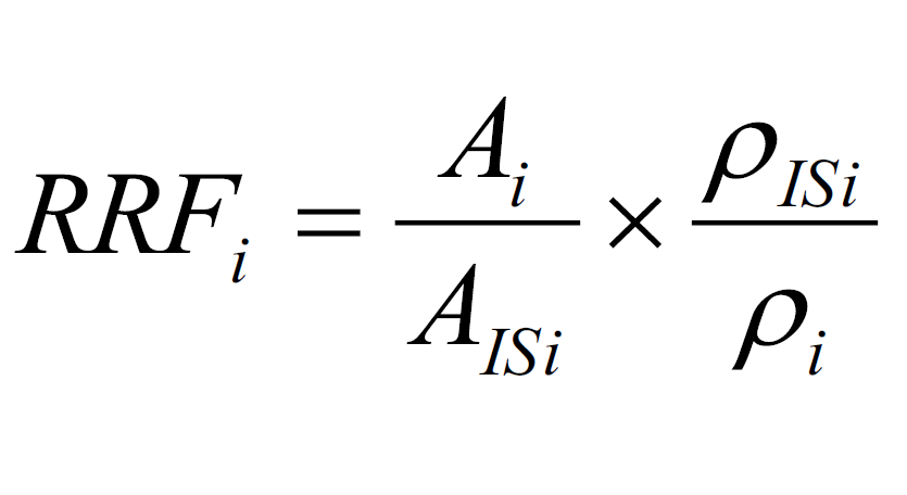
平均相對響應因子法
標準曲線第i點中目標物(或替代物)的相對響應因子(RRFi),按照下列公式進行計算。

若標準曲線中某個目標物相對響應因子(RRF)的相對標準偏差(RSD)大于20%,則此目標物需用標準曲線進行校準。即以目標物和相對應內標的峰面積比為縱坐標,濃度比為橫坐標,繪制標準曲線,如公式y=a+bx。
用微量注射器移取1.0ul試樣,注射到氣相色譜儀中,按照儀器參考條件進行測定。目標物的定性分析和定量分析可以按照相關的公式計算得出。
此方法來源于《水質 有機磷農藥的測定 氣相色譜 質譜法》
下一篇:檢測水中亞硝胺類化合物的具體步驟